43 surat persetujuan komisaris untuk kredit

Persetujuan untuk menandatangani Perjanjian Kredit, Akta Pengakuan Hutang, Surat Kuasa Memasang Hak Tanggungan dan Akta Kuasa Untuk Menjual atas tanah (dan bangunan) sebagai jaminan, maka Surat Persetujuan harus ditandatangani di hadapan Notaris (tandatangan dilegalisir oleh Notaris). D. SURAT PERNYATAAN. 1. SURAT PERSETUJUAN KREDIT BISA UNTUK JAMINAN DANA TALANGAN. Jika ada orang mengajukan pinjaman ke salah satu bank, dan ternyata disetujui maka bank akan mengeluarkan Surat Persetujuan Kredit. Istilah persetujuan kredit itu banyak sekali macamnya. Setiap bank memiliki versi yang berbeda untuk masalah yang satu ini.

Berikut ini adalah sebuah contoh surat pernyataan atau persetujuan suami/istri untuk mengajukan pinjaman atau kredit bank/koperasi. silahkan di cermati contoh surat berikut ini, semoga bisa membantu anda untuk membuat surat yang baik dan benar, serta bisa melancarkan usaha anda dalam mengajukan pinjaman di koperasi Bank.

Surat persetujuan komisaris untuk kredit

Surat persetujuan komisaris untuk kredit

Contoh Surat Persetujuan Dewan Komisaris untuk pendirian PT baru; Related Posts. Macam-macam perubahan dalam Perseroan Terbatas (PT) Posted by notarial.id - 10 Aug. Apa saja keuntungan Mendirikan PT? Posted by notarial.id - 19 Mar. Contoh Surat Kuasa Pendirian PT. Contoh Akta Pengakuan Hutang. Inilah pembahasan selengkapnya mengenai contoh surat persetujuan kredit dari bank. Admin dari blog Contoh Seputar Surat 2019 juga mengumpulkan gambar-gambar lainnya terkait contoh surat persetujuan kredit dari bank dibawah ini. Download Contoh Surat Keterangan Kerja Untuk Mengajukan Kpr. Proses Akad Kredit Di Btn Ursula Meta Rosarini. Inilah pembahasan selengkapnya mengenai contoh surat persetujuan komisaris untuk kredit. Admin dari blog Kumpulan Contoh Surat 2019 juga mengumpulkan gambar-gambar lainnya terkait contoh surat persetujuan komisaris untuk kredit dibawah ini. Contoh Surat Perjanjian Jual Beli Tanah Dan Bangunan Yang.

Surat persetujuan komisaris untuk kredit. Surat persetujuan komisaris.Para Penandatangan di bawah ini —-1. Contoh Akta Pengakuan Hutang. Apa saja keuntungan Mendirikan PT. Jakarta 7 januari 2017 yang memberi persetujuan dewan komisaris pt. _____ untuk mendirikan sebuah perseroan baru bersama dengan PT. Surat persetujuan komisaris untuk kredit. Dengan adanya surat persetujuan pinjaman artinya kedua belah pihak yakni peminjam dan pemberi pinjaman telah menyetujui syarat dan ketentuan yang berlaku. Itulah yang dapat kami bagikan terkait surat persetujuan komisaris untuk penjualan aset. Sp3k itu terbit pas permohonan pinjaman disetujui bank tapi ... Untuk Surat Persetujuan Kredit, setiap Bank menerbitkan dokumen memiliki format yang berbeda-beda tergantung dari Managemen Bank-nya masing-masing. Namun jika disimpulkan semuanya memiliki arti yang hampir sama, yaitu Surat Persetujuan Kredit. Biasanya format suratnya akan disesuaikan dengan jenis pinjamannya. SARANA PEMBANGUNAN menyetujui kepada direktur untuk memohon Garansi Bank dengan Jenis Garansi Jaminan Pemeliharaan dari Bank Jabar yang Bapak pimpin untuk kelancaran pelaksanaan pekerjaan kami. Demikian surat Persetujuan permohonan pengajuan Garansi Bank ini kami sampaikan. Atas kerjasama dan perhatiannya kami ucapkan terimakasih. Hormat kami, CV.

Contoh Surat Kuasa Direksi Ke Komisaris - Surat persetujuan dewan komisaris. Tempo co jakarta politikus partai demokrasi indonesia perjuangan adian napitupulu menjelaskan logika di balik pernyataan bahwa ada 6 200 komisaris dan direksi titipan di badan usaha milik negara. Dengan demikian, Dewan Komisarislah yang kemudian akan memberikan surat kuasa kepada orang yang ditunjuk (dalam hal ini mungkin Anda) untuk menandatangani perjanjian-perjanjian dengan pihak ketiga. Sebenarnya, jika melihat pada ketentuan yang berlaku terhadap Komisaris dalam Pasal 108 ayat (4) UUPT disebutkan bahwa Dewan Komisaris yang terdiri ... Contoh Draft Akta Notaris. Dibawah ini terdapat draft dari beberapa akta notaris (Baik Partij Akte maupun Relaas Akta), tentunya sebagai sebuah draft, ini bukanlah menjadi akta yang baku namun hanya digunakan sebagai pembelajaran dan contoh. Artinya sebagai notaris kita tidak boleh menggunakannya langsung dan mengambilnya tanpa melihatnya ... Terkait penggunaan Surat Persetujuan Komisaris eksisting untuk permohonan fasilitas kredit saat ini mengingat adanya perubahan susunan Dewan Komisaris, maka menurut pendapat kami : Surat Persetujuan Dewan Komisaris dengan susunan Dewan Komisaris yang baru hendaknya tetap dimintakan sebagai suatu persetujuan untuk perbuatan hukum Direksi ...

Pemberi Persetujuan. Komisaris PT. Surat Persetujuan Dewan Komisaris PT ini adalah untuk membuat persetujuan kepada Direksi PT untuk meminjam uang dari lemabaga keuangan (umumnya Bank) untuk memenuhi ketentuan Pasal 12 Anggaran Dasar Perseroan Terbatas sesuai dengan Ketentuan UU Nomor 40 Tahun 2007 Tentang Perseroan Terbatas. Sekalipun di dalam ... Demikian Surat Persetujuan dibuat untuk dapat dilaksanakan sebagaimana mestinya untuk kepentingan Perseroan serta di ketahui oleh pihak lain yang berkepentingan. Jakarta, 7 Januari 2017 Yang Memberi Persetujuan Dewan Komisaris PT. Bumerang Indonesia Materai Dan stempel TINTIN BUMERANG Komisaris Contoh Surat Penegasan Persetujuan Pembiayaan ... Sebab developer rumah saya bilang surat tsb dibutuhkan untuk mengambil sertifikat tanah di bank BTN untuk dipindahkan ke bank lain. ... SP3K itu terbit pas permohonan pinjaman disetujui Bank, tapi belum akad & belum cair….sesuai judulnya, SP3K = Surat Penegasan Persetujuan Penyediaan Kredit ... Didemo Ribuan Pegawai Rini Tidak Ada Kata Jual Aset. Contoh Surat Persetujuan Dewan Komisaris 2014. Menteri Rini Pastikan Tak Ada Penjualan Aset Pertamina. Jual Saham Bir Golkar Usulkan Anies Bikin Peternakan Sapi. Sekian penjelasan yang bisa admin berikan mengenai surat persetujuan komisaris untuk penjualan aset.

Dspace Uii Ac Id

Dspace Uii Ac Id

Yuk cek 12+ contoh surat persetujuan kredit. Berikut ini adalah cuplikan redaksi teksisi surat persetujuan untuk melakukan kredit. Admin dari blog Kumpulan Contoh Surat 2019 juga mengumpulkan gambar-gambar lainnya terkait contoh surat persetujuan komisaris untuk kredit dibawah ini.

31 Surat Persetujuan Komisaris Untuk Kredit Info Dana Tunai

31 Surat Persetujuan Komisaris Untuk Kredit Info Dana Tunai

surat persetujuan pengajuan pinjaman F. Fakhrurrozi Demikian persetujuan ini dibuat dengan sebenarnya dan penuh tanggung jawab untuk dipergunakan sebagaimana mestinya.H. Achmad Murtian SH.Ketua UKMINDO WIL.3 DKI1.

D4t4 Kul14h Surat Persetujuan Komisaris

D4t4 Kul14h Surat Persetujuan Komisaris

1. - Peminjam ada hak tiap-tiap hari pada waktu kas dari Bank dibuka, menyerahkan uang kepada Bank, baik untuk mengangsur maupun untuk membayar seluruhnya dari apa yang dihutang atas kekuatan Perjanjian Kredit ini atau untuk membayar bunga yang telah harus dibayarnya, dengan ketentuan bahwa Peminjam dapat sewaktu-waktu membayar/melunasi seluruhnya dari apa yang dihutang atas kekuatan ...

Surat

Surat

Untuk mengetahui akibat hukum yang dapat timbul sehubungan dengan pemberian kuasa dari direksi kepada anggota dewan komisaris untuk melakukan perbuatan hukum meminjam kredit pada Bank. 3. Untuk mengetahui hal-hal apa saja yang menjadi pertimbangan pihak Bank terhadap pihak perseroan terbatas yang ingin meminjam kredit dengan menggunakan surat ...

Surat Persetujuan Komisaris Revisi Id

Surat Persetujuan Komisaris Revisi Id

Contoh Surat Persetujuan Komisaris (Untuk Pendirian Perusahaan Baru) SURAT PERSETUJUAN DEWAN KOMISARIS. Yang bertanda tangan dibawah ini : Nama : Alamat : ... Demikian Surat Persetujuan ini dibuat untuk dapat dipergunakan sebagaimana mestinya. ...

Surat Persetujuan Dewan Komisaris

Surat Persetujuan Dewan Komisaris

Surat Persetujuan BUMDes - Ulasan berikut ini adalah lanjutan dari formulir simpan pinjam Badan Usaha Milik Desa yang sudah kami ulas sebelumnya. Silahkan cek link tersebut kalau Sobat Desa belum buka. Surat Persetujuan Kredit atau Surat Persetujuan Pinjaman yang dimaksud adalah surat persetujuan yang menerangkan bahwa permohonan atau pengajuan peminjaman uang kredit usaha mikro/simpan pinjam ...

Contoh Surat Persetujuan Dewan Komisaris Untuk Bank Doc Bangtri Com

Contoh Surat Persetujuan Dewan Komisaris Untuk Bank Doc Bangtri Com

Mencermati pertanyaan Anda yang menanyakan boleh atau tidak bolehnya Dewan Komisaris ikut dalam penandatanganan Cek atau Bilyet Giro sebagai suatu alat pembayaran (surat berharga), maka saya berasumsi bahwa maksud dari pertanyaan Anda adalah apakah Dewan Komisaris boleh menandatangani Cek/Bilyet Giro, setelah sebelumnya Direksi menandatangani Cek/Bilyet Giro tersebut (jadi ada 2 tanda tangan ...

31 Surat Persetujuan Komisaris Untuk Kredit Info Dana Tunai

31 Surat Persetujuan Komisaris Untuk Kredit Info Dana Tunai

Contoh Surat Persetujuan Dewan Komisaris Untuk Bank .Doc. - Pada kesempatan kali ini saya ingin membagikan pola surat persetujuan dewan kamisaris untuk persyratan peminjaman uang kepada bank. Surat ini dibentuk untuk menunjukkan wewenang kepada direksi atau eksekutif PT. Maju Jaya untuk menandatangani setiap perjanjian yang dibentuk oleh bank.

Contoh Surat Persetujuan Komisaris

Contoh Surat Persetujuan Komisaris

Pada kesempatan kali ini saya ingin membagikan contoh surat persetujuan dewan kamisaris untuk persyratan peminjaman uang kepada bank. Surat ini dibuat untuk memberikan wewenang kepada direksi atau direktur PT. Maju Jaya untuk menandatangani setiap perjanjian yang dibuat oleh bank. Atau surat - surat dari notaris yang dibutuhkan oleh bank sehingga tidak perlu dewan komisaris turun tangan ...

Surat Persetujuan Komisaris Pengajuan Kredit Tinoess S Blog

Surat Persetujuan Komisaris Pengajuan Kredit Tinoess S Blog

Undang-undang Perseroan Terbatas nomor 40 Tahun 2007. Pasal 117 : (1). Dalam Anggaran Dasar dapat ditetapkan Pemberian wewenang kepada Dewan Komisaris untuk memberikan persetujuan atau bantuan kepada Direksi dalam melakukan perbuatan hukum tertentu. (2). Dalam hal anggaran dasar menetapkan persyaraan Pemberian persetujuan atau bantuan sebagaimana dimaksud pada ayat (1),tanpa persetujuan atau ...

Idx Co Id

Idx Co Id

Berdasarkan Surat Rekomendasi tersebut, Direksi memerintahkan Tim Investigasi untuk melakukan inspeksi ke lapangan guna melihat secara langsung kondisi debitur. Setelah mendapatkan laporan dari Tim Investigasi, Direksi langsung mengadakan Hapus Buku Kredit berdasarkan persetujuan dari Dewan Komisaris.

Pdfcoffee Com

Pdfcoffee Com

Inilah pembahasan selengkapnya mengenai contoh surat persetujuan komisaris untuk kredit. Admin dari blog Kumpulan Contoh Surat 2019 juga mengumpulkan gambar-gambar lainnya terkait contoh surat persetujuan komisaris untuk kredit dibawah ini. Contoh Surat Perjanjian Jual Beli Tanah Dan Bangunan Yang.

Ojk Go Id

Ojk Go Id

Inilah pembahasan selengkapnya mengenai contoh surat persetujuan kredit dari bank. Admin dari blog Contoh Seputar Surat 2019 juga mengumpulkan gambar-gambar lainnya terkait contoh surat persetujuan kredit dari bank dibawah ini. Download Contoh Surat Keterangan Kerja Untuk Mengajukan Kpr. Proses Akad Kredit Di Btn Ursula Meta Rosarini.

Sarinah Co Id

Sarinah Co Id

Contoh Surat Persetujuan Dewan Komisaris untuk pendirian PT baru; Related Posts. Macam-macam perubahan dalam Perseroan Terbatas (PT) Posted by notarial.id - 10 Aug. Apa saja keuntungan Mendirikan PT? Posted by notarial.id - 19 Mar. Contoh Surat Kuasa Pendirian PT. Contoh Akta Pengakuan Hutang.

Contoh Surat Perjanjian Kredit Fh Uii

Contoh Surat Perjanjian Kredit Fh Uii

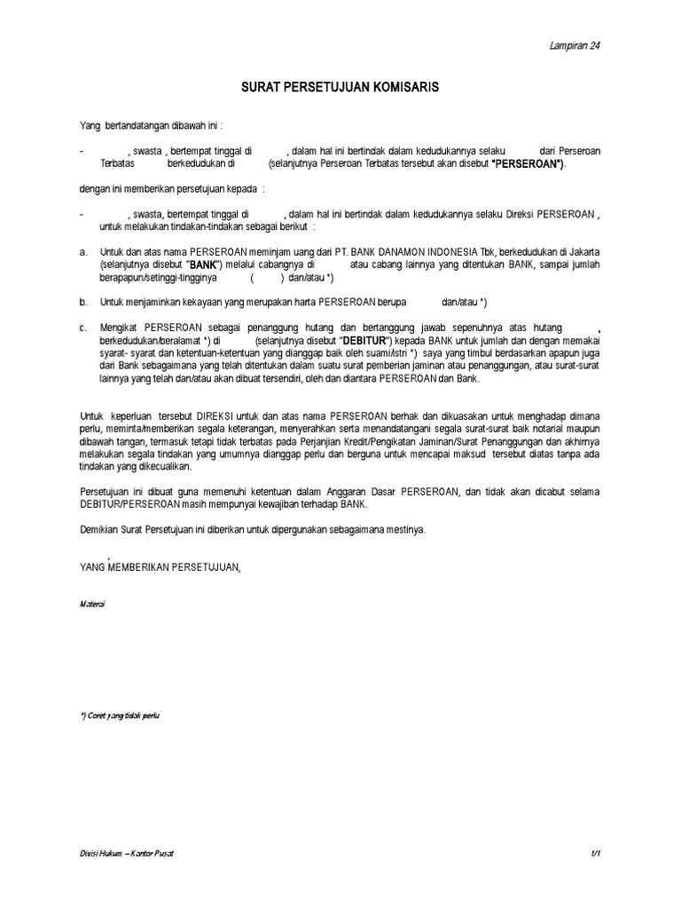
Lampiran 24 Surat Persetujuan Komisaris Pdf

Lampiran 24 Surat Persetujuan Komisaris Pdf

Dspace Uii Ac Id

Dspace Uii Ac Id

Bprcr Co Id

Bprcr Co Id

Adoc Tips

Adoc Tips

Web Pln Co Id

Web Pln Co Id

Ksei Co Id

Ksei Co Id

Sarinah Co Id

Sarinah Co Id

31 Surat Persetujuan Komisaris Untuk Kredit Info Dana Tunai

31 Surat Persetujuan Komisaris Untuk Kredit Info Dana Tunai

Contoh Surat Persetujuan Komisaris Untuk Kredit Kumpulan Contoh Surat

Contoh Surat Persetujuan Komisaris Untuk Kredit Kumpulan Contoh Surat

Pedoman Dan Tata Tertib Kerja Rapat Umum Pemegang Saham Rups Dewan Komisaris Direksi Dan Komite Komite Penunjang Dewan Komisaris Pdf Free Download

Pedoman Dan Tata Tertib Kerja Rapat Umum Pemegang Saham Rups Dewan Komisaris Direksi Dan Komite Komite Penunjang Dewan Komisaris Pdf Free Download

Bpk Go Id

Bpk Go Id

Contoh Surat Persetujuan Dewan Komisaris Untuk Membeli Tanah Contoh Seputar Surat

Contoh Surat Persetujuan Dewan Komisaris Untuk Membeli Tanah Contoh Seputar Surat

Surat Persetujuan Suami Istri

Surat Persetujuan Suami Istri

Surat Persetujuan Komisaris Pdfcoffee Com

Surat Persetujuan Komisaris Pdfcoffee Com

Surat Persetujuan Komisaris Pdf

Surat Persetujuan Komisaris Pdf

Lampiran Surat Edaran Bank Indonesia Nomor 6 7 Dpm Tanggal 16 Pdf Document

Lampiran Surat Edaran Bank Indonesia Nomor 6 7 Dpm Tanggal 16 Pdf Document

Surat Persetujuan Komisaris Pdf

Surat Persetujuan Komisaris Pdf

Surat Persetujuan Komisaris Revisi Id

Surat Persetujuan Komisaris Revisi Id

Proses Pemberian Kredit Perbankan Dan Problematikanya Ppt Download

Proses Pemberian Kredit Perbankan Dan Problematikanya Ppt Download

1

1

Bank Papua Membangun Tanah Papua

Bank Papua Membangun Tanah Papua

Ptpii Co Id

Ptpii Co Id

Contoh Surat Persetujuan Dewan Komisaris Untuk Pendirian Pt Baru Notarial Id

Contoh Surat Persetujuan Dewan Komisaris Untuk Pendirian Pt Baru Notarial Id

Contoh Surat Persetujuan Dewan Komisaris 2014 Pdf

Contoh Surat Persetujuan Dewan Komisaris 2014 Pdf

Surat Persetujuan Pdf

Surat Persetujuan Pdf

Surat Persetujuan Komisaris Pdf

Surat Persetujuan Komisaris Pdf

Adoc Tips

Adoc Tips

Contoh Surat Persetujuan Komisaris Untuk Kredit Kumpulan Contoh Surat

Contoh Surat Persetujuan Komisaris Untuk Kredit Kumpulan Contoh Surat

0 Response to "43 surat persetujuan komisaris untuk kredit"

Post a Comment

Iklan Atas Artikel

Iklan Tengah Artikel 1

Iklan Tengah Artikel 2

Iklan Bawah Artikel